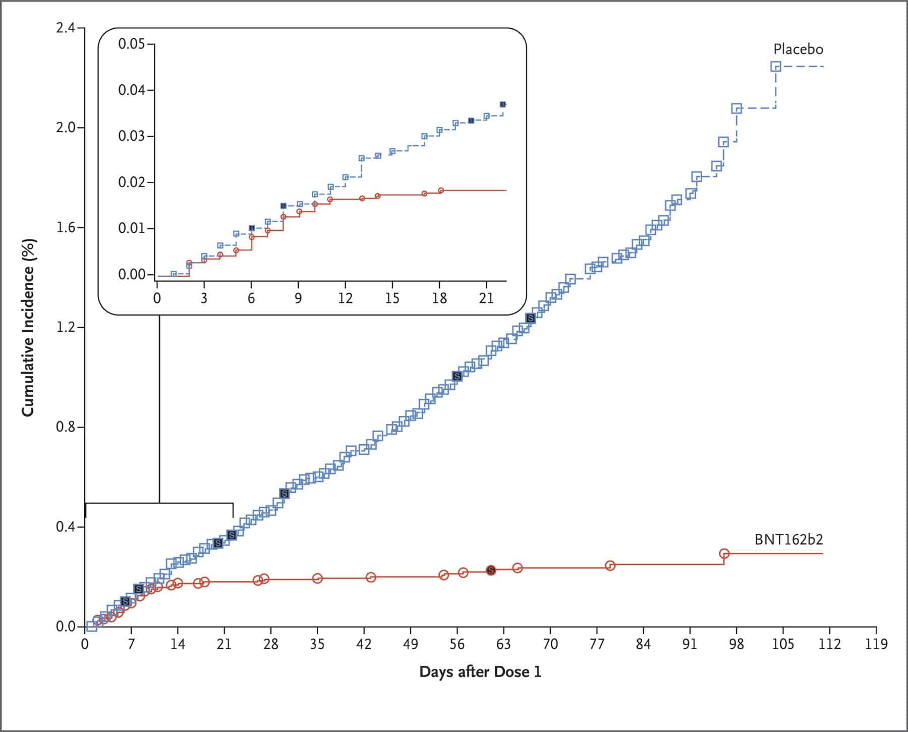
وكان استشاريو إدارة الغذاء والدواء الأميركية قد صوتوا لصالح الترخيص الطارئ للقاح شركة فايزر لفيروس كورونا، ويعود السبب الرئيسي في ذلك إلى البيانات الموضحة في هذا الرسم البياني.
يُظهر الرسم البياني (أدناه) -الذي أصدرته شركة فايزر وشركة بيو إن تك الشريكة لها- الاختلافَ في معدلات الإصابة بفيروس كورونا بين الأشخاص الذين شاركوا في تجربتهما ممن حصلوا على اللقاح الجيني الجديد وأولئك الذين حصلوا على لقاح وهمي.

يمثل الخط الأزرق المتطوعين الذين تم إعطاؤهم اللقاح الوهمي. أما الخط الأحمر، فيمثل أولئك الذين حصلوا على اللقاح الفعلي. ويعبر الارتفاع في أي من الخطين عن حدوث حالة جديدة من الإصابة بكوفيد-19.
ما تظهره البيانات هو أنه خلال الأسبوع الأول بعد الحصول على اللقاحات، استمرت المجموعتان في الإصابة بفيروس كورونا بنفس المعدل تقريباً. ولكن بعد ذلك، يبدأ الخطان بالابتعاد عن بعضهما. ويستمران في الابتعاد أكثر فأكثر.
وذلك نتيجة لبدء مفعول اللقاح، الذي عادةً ما يستغرق بضعة أيام ويتعزز من خلال الجرعة الثانية. بعد أسبوعين، لم تتعرض سوى أعداد قليلة جداً ممن حصلوا على اللقاح للإصابة بالفيروس. لكن ظل أولئك الذين حصلوا على اللقاح الوهمي يتعرضون للإصابة بانتظام.
يقول عالم المناعة البارز فلوريان كرامر، الذي نشر نسخة من الصورة على تويتر: “لا تعليق. هذا ما تفعله اللقاحات”.
لهذا الانتصار ما يبرره. فهذا ما كان يعمل الباحثون على تحقيقه طوال العام. البيانات المتمثلة في هذا الرسم البياني لا تدع مجالاً للشائعات أو السياسة أو التعليقات غير الواعية. فالأمر واضح وضوح النهار: هذا اللقاح هو أحد أفضل اللقاحات التي شهدناها على الإطلاق.
عرضت شركة فايزر الرسم البياني في مقالة نُشرت في 10 ديسمبر في مجلة نيو إنجلاند جورنال أوف ميديسين، وفي وقت سابق من الأسبوع نفسه، كجزء من طلبها الذي تقدمت به إلى إدارة الغذاء والدواء للبدء ببيع اللقاح. ومن المحتمل أن يتم منح الترخيص في أي لحظة الآن بعد أن صوّت استشاريو الوكالة لصالحه.
ستكون الطبيعة الواضحة لأدلة شركة فايزر أكثر أهمية مما سبق مع بدء اللقاح بالوصول إلى العيادات والمستشفيات؛ إذ تُحدث القوى المناهضة للقاحات الكثير من الضجة على وسائل التواصل الاجتماعي لإثارة المخاوف بشأن اللقاح، ويتساءل حتى الأشخاص العاديون عما إذا كان ينبغي عليهم الحصول عليه.
يعرف الباحثون على الدوام أن اللقاحات يمكنها أن تقلب حالة الأمراض المُعدية بسرعة من معاناة ومآسٍ إلى مجرد ذكريات سيئة. فمنذ أن تم تطويرها لأول مرة، شهدت البشرية الآثار الجذرية للقاحات مراراً وتكراراً، وخاصة خلال القرن العشرين.

توضح هذه الرسوم البيانية من موقع أور وورلد إن داتا (Our World in Data) ما حدث بعد التوصل إلى لقاحي شلل الأطفال والحصبة. سبّب شلل الأطفال مشكلة كبيرة لكل من الأطفال والوالدين. ولكن في غضون بضع سنوات، زالت المخاوف بشأنه.
لا تزال هناك أمور مجهولة؛ فإلى متى ستستمر المناعة ضد فيروس كورونا؟ لا أحد يعلم ذلك. وعلى الرغم من العلامات المشجعة التي أشارت حديثاً إلى أن المناعة قد تستمر لسنوات لدى الأشخاص الذين أصيبوا بالمرض، إلا أنه من السابق لأوانه الجزم بذلك. علاوة على ذلك، فإن كميات اللقاح المحدودة تعني أنه لن يحصل عليه الكثير من الناس حتى منتصف عام 2021، وذلك في الولايات المتحدة على الأقل. ووفقاً لمنظمة الصحة العالمية، من المحتمل ألا يحصل معظم الناس في دول العالم على اللقاح حتى عام 2022.
منذ بداية الوباء، تقوم مخططات الإصابات والوفيات بتذكيرنا بشكل يومي بأن الأمر لم ينتهِ بعد، بل ازداد سوءاً في الآونة الأخيرة. تتردد العبارات المأساوية بانتظام في التقارير الإخبارية؛ إذ تعرّض مؤخراً أكثر من 3000 شخص أميركي للوفاة خلال يوم واحد بسبب فيروس كورونا.
يعدّ الرسم البياني لشركة فايزر بمثابة مضاد لتلك الرسوم البيانية الخاصة بالوفيات. إنه يوضح آلية خروجنا من هذه الدوامة. عندما يحصل الناس على هذا اللقاح (أو غيره من لقاحات الشركات الأخرى)، فسيكون عدد أكبر من الناس ضمن الخط الأحمر الآمن المنيع، وليس الخط الأزرق المخيف الذي يمكن فيه أن تحدث الإصابة بكوفيد-19 في أي وقت.
هذا هو الرسم البياني الأفضل خلال العام، وهكذا ستبدو الأمور عند عودتها إلى طبيعتها.